English
全部
搜索
图片
视频
地图
资讯
更多
购物
航班
旅游
笔记本
报告不当内容
请选择下列任一选项。
无关
低俗内容
成人
儿童性侵犯
时长
全部
短(小于 5 分钟)
中(5-20 分钟)
长(大于 20 分钟)
日期
全部
过去 24 小时
过去一周
过去一个月
去年
清晰度
全部
低于 360p
360p 或更高
480p 或更高
720p 或更高
1080p 或更高
源
全部
Dailymotion
Vimeo
Metacafe
Hulu
VEVO
Myspace
MTV
CBS
Fox
CNN
MSN
价格
全部
免费
付费
清除筛选条件
安全搜索:
中等
严格
中等(默认)
关闭
筛选器
15:31
mathworks.com
Differential Equations and Linear Algebra, 6.4: The Matrix Exponential, exp(A*t)
The shortest form of the solution uses the matrix exponential y = e At y (0) . The matrix e At has eigenvalues e λt and the eigenvectors of A.
2016年1月27日
Eigenvalues and Eigenvectors
6:32
Eigenvalues & Eigenvectors | Overview, Equation & Examples
Study.com
已浏览 7.6万 次
2018年12月8日
Eigenvalues & eigenvectors + applications tutorial
YouTube
Dr Chris Tisdell
已浏览 3.5万 次
2011年5月10日
Lecture 21: Eigenvalues and Eigenvectors
videolectures.net
已浏览 2.3万 次
2009年2月10日
热门视频
What is the complex power and how it figures in power analysis | EEP
electrical-engineering-portal.com
2017年3月17日
Can eigenvalues be complex number? - TimesMojo
timesmojo.com
2022年7月7日
6:38
Eigenvectors & Eigenvalues | Overview, Equations, & Examples
Study.com
已浏览 3.2万 次
2021年3月9日
3x3 Matrix Calculator
Can you find a 3 \times 3 matrix A such that im\left(A\righ... | Filo
askfilo.com
已浏览 5790 次
2023年10月27日
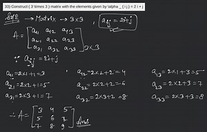
33) Construct ( 3 \times 3 ) matrix with the elements given by ... | Filo
askfilo.com
已浏览 5123 次
4 个月之前
7:19
187K views · 3.4K reactions | How to find the Determinant of 3 by 3 Matrix 朗 #maths #viralfypシforyoupage #viralmaths #viralmath #viralfacebookvideo #mathematics | Online Maths Expo | Facebook
Facebook
Online Maths Expo
已浏览 7万 次
1 周前
What is the complex power and how it figures in power analysis | EEP
2017年3月17日
electrical-engineering-portal.com
Can eigenvalues be complex number? - TimesMojo
2022年7月7日
timesmojo.com
6:38
Eigenvectors & Eigenvalues | Overview, Equations, & Examples
已浏览 3.2万 次
2021年3月9日
Study.com
How do you know if a matrix has eigenvalues? - TimesMojo
2022年7月7日
timesmojo.com
7:49
Eigenvalues of a Matrix & The Characteristic Equation
已浏览 4.6万 次
2018年6月23日
Study.com
Damien Howard
7.1: Eigenvalues and Eigenvectors of a Matrix
2022年2月27日
libretexts.org
Exponentiating a Matrix with Real Eigenvalues
已浏览 779 次
2023年1月25日
YouTube
Mike, the Mathematician
Eigenvalues & eigenvectors + applications tutorial
已浏览 3.5万 次
2011年5月10日
YouTube
Dr Chris Tisdell
Case 1: Complex Eigenvalues | System of Differential Equations
已浏览 5.1万 次
2016年5月8日
YouTube
math et al
Matrix Exponential with Complex Eigenvalues An Example
已浏览 1131 次
2023年1月25日
YouTube
Mike, the Mathematician
[CA/Week 1] 4. Exponential representation of a complex numb
…
已浏览 579 次
2020年8月3日
YouTube
Stokes-Line
Prove that the eigenvalue for Hermitian matrix is real
已浏览 5339 次
2020年11月16日
YouTube
Math Geeks
49:10
(DiffEQ, Fall 23) 19 - Handling complex eigenvalues
已浏览 70 次
2023年10月11日
Vimeo
Beard meets calculus
26:57
Exponential Functions
已浏览 199 次
2021年2月17日
YouTube
Engr. Khush Bakht
21:05
Complex eigenvalues
已浏览 1.9万 次
2019年4月8日
YouTube
Dr Peyam
0:47
Complex Exponential Signals Explained!
已浏览 263 次
10 个月之前
YouTube
ALZUBE Biomedical Engineering Academy
48:56
4. Eigenvalues and Eigenvectors
已浏览 16.1万 次
2019年5月16日
YouTube
MIT OpenCourseWare
51:23
21. Eigenvalues and Eigenvectors
已浏览 75万 次
2019年9月24日
YouTube
MIT OpenCourseWare
8:13
Complex Exponential Function 1
已浏览 10万 次
2012年7月31日
YouTube
DaveAcademy
17:10
Finding Eigenvalues and Eigenvectors
已浏览 123万 次
2019年7月17日
YouTube
Professor Dave Explains
16:25
Complex Numbers as Matrices
已浏览 7.2万 次
2016年8月2日
YouTube
Mathoma
11:44
Complex Eigenvalues and Eigenvectors
已浏览 16.8万 次
2015年4月28日
YouTube
Leah Howard
14:10
COMPLEX Eigenvalues, Eigenvectors & Diagonalization **f
…
已浏览 12.2万 次
2020年2月18日
YouTube
Dr. Trefor Bazett
5:19
MH2801 Orthogonality of Complex Exponentials
已浏览 1.2万 次
2012年10月9日
YouTube
Siew Ann Cheong
3:22
Complex Eigenvectors: An Example. Part 1
已浏览 1.7万 次
2015年12月15日
YouTube
Joy Zhou
4:37
Eigenvectors, Eigenvalues, Eigenspaces Explained (Easy Expl
…
已浏览 6630 次
2020年12月1日
YouTube
Drew Werbowski
25:11
Linear Algebra 36: Eigenapplications, 2. Ellipses
已浏览 5350 次
2020年4月8日
YouTube
Jonathan Evans
4:35
Iteration method to find largest Eigen Value
已浏览 7.2万 次
2020年1月24日
YouTube
Mathematics-Ganit Sangrah
1:21
Calculating Eigenvalues and Eigenvectors The eigFunction
已浏览 1.5万 次
2018年4月28日
YouTube
Matlab for Engineers
观看更多视频
更多类似内容
反馈